目指せ!電気主任技術者~解説ノート~

第一種電気主任技術者の免状保有者がまとめた電気主任技術者試験の解説ノートです。

2022-09-04から1日間の記事一覧

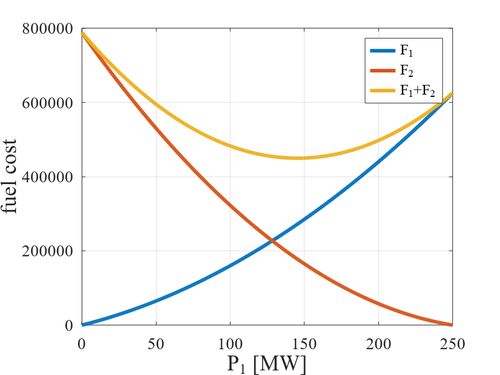
火力発電所の燃料増分費

本問は,燃料増分費(incremental fuel cost)に関する問題である。需給バランスを満足しつつ,燃料増分費が等しくなる出力で運転することで燃料費を最小とできる。(Lagrange の未定乗数法を適用し,Lagrange 関数を最小化するという最適化問題である。) …